


油酸钠捕收剂对电解锰过程的影响
发布时间:2018-10-10 来源:伟德victor1946官网登录 浏览次数:
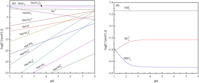
摘要:采用阴极电流效率测定、溶液化学计算和热力学分析、极化曲线和傅里叶变换红外光谱(FT-IR)分析等方法, 系统地研究了油酸钠(NaOL)对硫酸盐溶液中锰电沉积过程的影响。结果表明,随着NaOL浓度和溶液pH的增加,电流效率呈现先增加,后降低的趋势。对硫酸盐电解液和NaOL进行溶液化学计算,结果表明,MnSO4、Mn(SO4)22-、Mn2+、Mn(NH3)2+、OL-、(OL)22-分别是其主要活性组分。通过热力学计算,证实了OL-和Mn2+离子之间的反应趋势。此外,研究了NaOL对析氢反应和锰电沉积的影响,并用红外光谱分析了OL-和Mn2+的配位机理。

油酸钠浓度对电流效率的影响

溶液pH对电流效率的影响

logC与溶液pH之间的关系
关键词:油酸钠;锰电沉积;溶液化学计算;热力学计算;极化曲线分析
来源:Jianrong Xue, Shuai Wang*, Hong Zhong*, Changxin Li, Fangfang Wu. Influence of sodium oleate on manganese electrodeposition in sulfate solution [J]. Hydrometallurgy, 2016, 160: 115-122
链接:https://www.sciencedirect.com/science/article/pii/S0304386X15301663